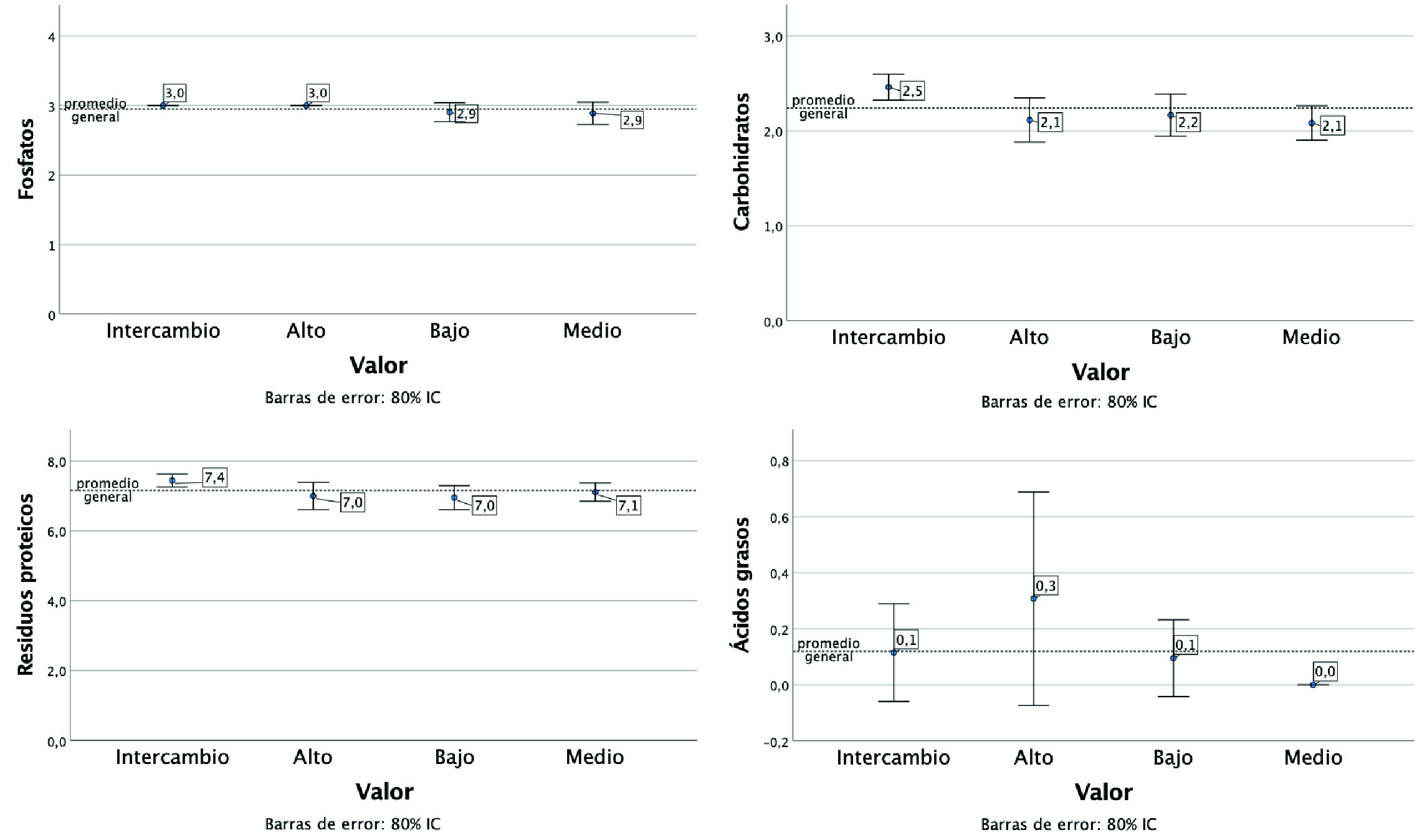
Resumen
El estudio de las prácticas alimentarias permite determinar diferencias socioeconómicas en poblaciones antiguas, entre otros aspectos. En el sitio Lomas Entierros se llevó a cabo un análisis de residuos químicos para identificar sustancias procedentes de alimentos consumidos por distintos estratos de la población y determinar cuáles recipientes cerámicos, según su forma y valor, estaban involucrados en el consumo y preparación de estos alimentos. Los resultados indican que todos los sectores de la población estudiados contaron con un amplio acceso a recursos alimenticios ricos en carbohidratos. Los grupos de élite y estatus intermedio consumían alimentos más exclusivos, con mayor contenido de proteínas y ácidos grasos. Los carbohidratos se reportan en vasijas de todas las formas y grupos de valor, mientras que los residuos proteicos y los ácidos grasos se identificaron principalmente en escudillas de alto valor.
Abstract: The study of culinary practices allows us, among other things, to determine socioeconomic differences in ancient populations. At Lomas Entierros site a chemical residue analysis was carried out to identify residual substances from products that were consumed and prepared by different socioeconomic strata and in vessels of varied shape and value. The results indicate that all sectors of the population had ample access to carbohydrate-rich food resources. However, elite groups and intermediate status consumed more exclusive foods that were high in protein and fatty acids. Carbohydrates are reported in vessels of all shapes and value groups, while protein residues and fatty acids were mostly identified in high-value bowls.
Keywords: chemical residue; ceramic vessels; status; valuable objects; food.
Résumé: L’étude des pratiques alimentaires permet de déterminer, entre autres choses, les différences socio-économiques des populations anciennes. Sur le site de Lomas Entierros une analyse des résidus chimiques a été réalisée pour identifier les substances résiduelles des produits consommés par différents segments de la population et pour déterminer quels récipients en céramique, selon leur forme et la valeur, ont été impliqués dans la consommation et la préparation de ces aliments. Les résultats indiquent que tous les secteurs de la population ont largement accès à des ressources riches en glucides. Les groupes d’élite et de statut intermédiaire mangeaient des aliments plus exclusifs avec une teneur plus élevée en protéines et en acides gras. Les glucides sont signalés dans les récipients de toutes formes et groupes de valeur, tandis que les résidus de protéines et les acides gras ont été principalement identifiés dans les bols de grande valeur.
Mots-clés: résidus chimiques; récipients en céramique ; statut; objets de valeur; aliments.
Referencias
Ambrose, Stanley H. Jane Buikstra y Harold W. Krueger. 2003. «Status and gender differences in diet at Mound 72, Cahokia, revealed by isotopic analysis of bone», Journal of Anthropological Archaeology 22(3): 217-26. doi:10.1016/S0278-4165(03)00036-9.
Appadurai, Arjun. 1981. «Gastro-politics in Hindu South Asia». American ethnologist 8(3): 494-511. doi:10.1525/ae.1981.8.3.02a00050.
Barba, Luis. 2007. «Chemical residues in lime-plastered archaeological floors». Geoarchaeology: An International Journal 22(4): 439-52. doi:10.1002/gea.20160.
-2009. «Los residuos químicos en cerámica: Indicadores arqueológicos para entender el procesamiento de alimentos y el uso de recipientes». XXX Convegno Internazionale di Americanistica, Centro Studi Americanistici Circolo Amerindiano, Perugia, 721-28.
Barba, Luis y Agustín Ortiz. 1992. «Análisis químico de pisos de ocupación: Un caso etnográfico en Tlaxcala, México». Latin American Antiquity 3(1): 63-82. doi:10.2307/971930.
Barba, Luis, Agustín Ortiz y Alessandra Pecci. 2014. «Los residuos químicos: Indicadores arqueológicos para entender la producción, preparación, consumo y almacenamiento de alimentos en Mesoamérica». Anales de Antropología 48(1): 201-40. doi:10.1016/S0185-1225(14)70495-3.
-2017. «Los residuos químicos de la producción de pulque. Etnoarqueometría y arqueología experimental». Anales de Antropología 51(1): 39-55. doi:10.1016/ j.antro.2016.11.002.
Barba, Luis, José Luis Córdoba y Roberto Rodríguez. 1991. Manual de técnicas microquímicas de campo para la arqueología. México: Instituto de Investigaciones Antropológicas / Universidad Nacional Autónoma de México.
Barba, Luis, Rocío Hernández y Mauricio Obregón. 2019. «Análisis de residuos químicos de las ollas, cazuelas, comales y cajetes de factura local y su interpretación». En Cerámica y vida cotidiana en la sociedad lacustre del Alto de Lerma en el Clásico y Epiclásico (C. A. 500-950 d. C.), editado por Yoko Sugiura Yamamoto, Gustavo Jaimes, María del Carmen Pérez y Kenia Hernández, Zinacantepec, 127-61. Edo. Méx.: El Colegio Mexiquense A. C.
Blanco, Aida. 2002. «Resultados comentados de las identificaciones de fitolitos y macromuestras botánicas de Siquiares II y Pan de Azúcar». En Proyecto Carretera Ciudad Colón-Orotina, editado por Silvia Salgado, 152-57. San José: Consejo Nacional de Concesiones.
Cagnato, Clarissa. 2019. «Hervir y moler: Descifrando técnicas de elaboración de alimentos a través del análisis microscópico de los granos de almidón recolectados en contextos arqueológicos mesoamericanos». Itinerarios: Revista de estudios lingüísticos, literarios, históricos y antropológicos, 29: 9-33.
Charters, S., R. P. Evershed, L. J. Goad, A. Leyden, P. W. Blinkhorn y V. Denham. 1993. «Quantification and distribution of lipid in archaeological ceramics: Implications for sampling potsherds for organic residue analysis and the classification of vessel use». Archaeometry 35(2): 211-23. doi:10.1111/j.1475-4754.1993.tb01036.x.
Corrales, Francisco, y Jorge Mora. 1990. «Sobre el proto-pejibaye en Costa Rica. Boletín Pejibaye (Guilielma)». Ser Técnica, 2: 1-11.
Cuéllar, Andrea M. 2013. «The archaeology of food and social inequality in the Andes». Journal of Archaeological Research 21(2): 123-74. doi:10.1007/s10814-012-9061-x.
Curet, L. Antonio, y William J. Pestle. 2010. «Identifying high-status foods in the archeological record». Journal of Anthropological Archaeology 29(4): 413-31. doi:10.1016/j. jaa.2010.08.003.
Dickau, Ruth. 2010. «Microbotanical and macrobotanical evidence of plant use and the transition to agriculture in Panama». En Integrating Zooarchaeology andPaleoethnobotany: A Considerations of Issues, Methods and Cases, editado por Amber M. VanDerwarker y Tanya M. Peres, 99-134. Nueva York: Springer.
Dietler, Michael. 2001. «Theorizing the feast: Rituals of consumption, commensal politics and power in african context». En Feasts: Anthropological and ethnographic perspectives on food, politics, and power, editado por Michael Dietler y Bryan Hayden, 65-114. Washington D. C.: Smithsonian Institution Press.
Emery, Kitty. 2003. «The noble beast: Status and differential access to animals in the Maya world». World Archaeology 34(3): 498-515. doi:10.1080/0043824021000026477.
Evershed, Richard P. 2008. «Experimental approaches to the interpretation of absorbed organic residues in archaeological ceramics». World Archaeology 40(1): 26-47. http:// www.jstor.org/stable/40025312.
Feinman, Gary M., Steadman Upham y Kent G. Lightfoot. 1981. «The production step measure: An ordinal index of labor input in ceramic manufacture». American Antiquity 46(4): 871-84. doi:10.2307/280113.
Fournier, Patricia. 1998. «El complejo nixtamal/comal/tortilla en Mesoamérica». Boletín de Antropología americana, 32: 13-40.
Graham, Mark M. 1985. «The stone sculpture of Costa Rica: The production of ideologies of dominance in prehistoric rank societies» (tesis doctoral, University of California).
Gumerman, George IV. 2002. «Llama power and empowered fishermen: Food and power at Pacatnamu, Peru». En The dynamics of power, Center for Archaeological Investigations, Occasional Paper, No. 30, editado por Maria O´Donovan, 238-56. Carbondale: The Board of Trustees / Southern Illinois University.
Hastorf, Christine A. 2016. The social archaeology of food: Thinking about eating from prehistory to the present. Cambridge: Cambridge University Press.
Herrera, Anayensy, y Felipe Solís. 1988. «Informe de laboratorio sobre los materiales recuperados en el sitio Lomas Entierros (SJ-343-LE) [marzo/noviembre 1988]» (manuscrito en archivo, Departamento de Antropología e Historia, Museo Nacional de Costa Rica).
Hirth, Kenneth G. 1993. «Identifying rank and socioeconomic status in domestic contexts: An example from Central Mexico». En Prehispanic domestic units in western Mesoamerica: Studies of the household, compound and residence, editado por Robert S. Santley and Kenneth G. Hirth, 121-46. Boca Ratón: CRC Press.
Junker, Laura Lee y Lisa Niziolek. 2010. «Food preparation and feasting in the household and political economy of pre-Hispanic Philippine chiefdoms». En Inside Ancient Kitchens, editado por Elizabeth A. Klarich, 17-53. Boulder: University Press of Colorado.
Johnson, Emily S. y John M. Marston. 2020. «The experimental identification of nixtamalized maize through starch spherulites». Journal of Archaeological Science, 113: 105056. doi:10.1016/j.jas.2019.105056.
Joyce, Arthur A. 2010. «Expanding the feast: Food preparation, feasting and the social negotiation of gender and power». En Inside ancient kitchens: New directions in the study of daily meals and feasts, editado por Elizabeth A. Klarich, 221-39. Boulder: University Press of Colorado.
Kaplan, Jonathan, Federico Paredes Umaña, W. Jeffrey Hurst, D. Sund, Bruce Stanley, Luis Barba Pingarrón y Mauricio Obregón Cardona. 2017. «Cacao residues in vessels from Chocolá, an early Maya polity in the southern Guatemalan piedmont, determined by semi-quantitative testing and high-performance liquid chromatography». Journal of Archaeological Science: Reports, 13: 526-34. doi:10.1016/j.jasrep.2017.04.017.
Kirch, Patrick, y Sharyn Jones O’Day. 2003. «New archaeological insights into food and status: A case study from pre-contact Hawaii». World Archaeology 34(3): 484-97. doi:10.1080/0043824021000026468.
Loughmiller-Cardinal, Jennifer. 2019. «Distinguishing the uses, functions, and purposes of classic maya “chocolate” containers: Not all cups are for drinking». Ancient Mesoamerica 30(1): 13-30. doi:10.1017/S0956536117000359.
Núñez Cortés, Yajaira. 2020a. «Economy, exchange and political power at Lomas Entierros, Central Pacific Costa Rica» (tesis doctoral, State University of New York at Albany, Department of Anthropology).
-2020b. «Intercambio interregional y configuración arquitectónica en Lomas Entierros, Pacífico Central de Costa Rica». Vínculos 41(1-2): 35-66. https://par.nsf.gov/biblio/10220242.
-2022. «Análisis cualitativo y práctico de residuos químicos como indicador en la preparación y consumo de alimentos en el sur de América Central: Aportes desde la arqueología experimental». Cuadernos de Antropología 32 (1): 201-40. doi:10.15517/cat.v32i1.48441.
Núñez Cortés, Yajaira, y Paulo Ruiz-Cubillo. 2022. «Up the hill and under the canopy: Lidar applications for assessing issues of monumentality and socioeconomic status in Lomas Entierros, Costa Rica». Journal of Archaeological Science: Reports, 45 (2022): 103566. doi:10.1016/j.jasrep.2022.103566.
Ornat, Raquel. 2005. «La evolución cultural del poblamiento del valle central de Costa Rica (eje ciudad Colón-Tabarcia)» (tesis doctoral, Universidad de Zaragoza). https://dialnet.unirioja.es/servlet/tesis?codigo=159448.
Pecci, Alessandra. 2009. «Analisi funzionale della ceramica e alimentazione medievale». Archeologia Medievale, 37: 21-42.
-2021. «Análisis de residuos químicos en materiales arqueológicos: Marcadores de actividades antrópicas en el pasado». Pyrenae: Revista de Prehistòria i Antiguitat de la Mediterrània Occidental 52(1): 7-54. doi:10.1344/Pyrenae2021.vol52num1.1.
Pitts, Martin. 2015. «The archaeology of food consumption». En A companion to food in the ancient world, editado por John Wilkins y Robin Nadeau, 95-104. Sussex del Oeste: John Wiley & Sons, Ltd.
Quintanilla, Ifigenia. 1992. «La Malla: Un sitio arqueológico asociado al uso de recursos del manglar de Tivives. Pacífico Central de Costa Rica». Vínculos 16(1-2): 57-83.
Rosenswig, Robert M. 2007. «Beyond identifying elites: Feasting as a means to understand early middle formative society on the Pacific Coast of Mexico». Journal of Anthropological Archaeology 26(1): 1-27. doi:10.1016/j.jaa.2006.02.002.
Smith, Michael E. 1987. «Household possessions and wealth in agrarian states: Implications for archaeology». Journal of Anthropological Archaeology 6(4): 297-335. doi:10.1016/0278-4165(87)90004-3.
Solís, Felipe, y Anayensy Herrera. 1992. «Lomas Entierros: Un centro político prehispánico en la cuenca baja del río Grande de Tárcoles». Vínculos 16(1-2): 85-110.
Solís, Olman E. 1992. «Jesús María: Un sitio con actividad doméstica en el Pacífico Central, Costa Rica». Vínculos, 16(1-2): 31-56.
Turkon, Paula. 2004. «Food and status in the prehispanic Malpaso Valley, Zacatecas, Mexico». Journal of Anthropological Archaeology 23(2): 225-51. doi:10.1016/j.jaa.2004.01.003.
Terreros, Martín. 2013. «Una aproximación a la alimentación por medio del análisis de residuos químicos y FRX de comales provenientes de un sitio lacustre, Santa Cruz Atizapán (550-900 d. C.)» (tesis de licenciatura inédita, Escuela Nacional de Antropología e Historia).
Van der Veen, Marijke. 2003. «When is food a luxury?». World Archaeology 34(3): 405-27. doi:10.1080/0043824021000026422.
En todos los casos los autores conservan los derechos morales como lo establece la ley y ceden a la revista los derechos patrimoniales de los artículos publicados, que se registrarán bajo la licencia de Creative Commons, la cual permite al autor y a terceros utilizar lo publicado siempre y cuando se cite correctamente la autoría del trabajo y de la primera publicación que fue realizada por la revista. Del mismo modo, deberán de incluir una liga que remita al sitio de la publicación original. Trace podrá publicar los artículos en formatos físicos y/o electrónicos, inluido internet.

Este obra está bajo una licencia de Creative Commons Reconocimiento-NoComercial 4.0 Internacional.
